Условие:
Выборка из непрерывной генеральной совокупности 𝑋 задана интервальным вариационным рядом:

и представляет часовую производительность одного рабочего в течение исследуемого
периода
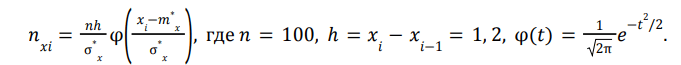
Объем выборки 𝑁 = 100. Здесь
𝑥j середины j-го интервала 
𝑎j-1и aj левая и правая граница i-го интервала.
![]()
𝑎0 = 2m - 0,15n = 0,4 -0,6 = - 0,2 левая граница 1-го интервала
𝑎7 =0,4 + 7,2 + 0,6 = 8,2 - правая граница 7-го интервала,
![]()
𝑚xj - частоты попадания элементов выборки (наблюдаемых значений X ) в интервал

По критерию χ2 - Пирсона проверить гипотезу о нормальном распределении генеральной совокупности при уровне значимости α = 0, 05.

