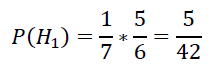
Условие:
В первой урне находится один белый и шесть чёрных шаров, а во второй урне один чёрный и пять белых шаров. Из каждой урны удалили по одному шару, а оставшиеся шары ссыпали в третью урну. Найти вероятность того, что шар, наудачу вынутый из третьей урны, окажется белым.

