Условие:
В среднем, 20% кустов смородины плодоносят 10 лет. При этом среднее квадратическое отклонение составляет 2,5 года. Оценить вероятность того, что выбранный куст смородины будет плодоносить:
а) менее 12 лет;
б) более 8 лет;
в) от 7 до 13 лет.

В среднем, 20% кустов смородины плодоносят 10 лет. При этом среднее квадратическое отклонение составляет 2,5 года. Оценить вероятность того, что выбранный куст смородины будет плодоносить:
а) менее 12 лет;
б) более 8 лет;
в) от 7 до 13 лет.
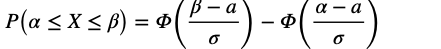
Вероятность того, что случайная величина примет значение
находится по формуле:

где значения Ф опред...