Условие:
Построить схематический чертеж и найти площадь фигуры, ограниченной линиями:


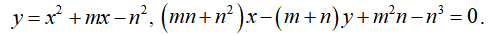
Построить схематический чертеж и найти площадь фигуры, ограниченной линиями:



Найдем точки пересечения, для этого приравняем уравнения, выразив y во втором уравнении через х.
Получаем квадратное уравнение