1. Разложить в ряд Маклорена функцию
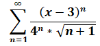
2. Найти радиус сходимости степенного ряда
1.
Используем табличное разложение:
В остроугольном треугольнике ABC с центром O описанной окружности проведена биссектриса BL, а также пересекающиеся в точке H высоты AA1, BB1 и CC1. Луч BO пересекает сторону AC в точке S. Докажите, что B1L * BS = LS * BB1
Высшая математика
Составить математическую модель и найти оптимальный план перевозок в транспортной задаче, заданной таблицами. Транспортные издержки на маршруте на единицу груза
Упражнение 2.2.6. Пусть n — натуральное число, а P(m) — свойство, относящееся к натуральным числам, такое, что если P(m++) истинно, то P(m) истинно. Предположим, что P(n) также истинно. Докажите, что P(m) истинно для всех натуральных чисел m ≤ n. Это
Не нашел нужную задачу?
GPT бот для написания реферата
Нейронка для генерации проектных работ
Нейронка для решения задач
Нейронка для решения задач по фото
Нейронка для генерации научных статей
Нейронка для отчёта по практике
Нейронка для помощи с курсовой
Нейронка для решения физики по фото
Нейронка для генерации списков литературы
Нейронка для решения задач по математике