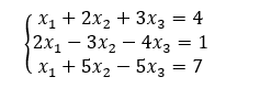
Условие:
Решить систему линейных уравнений тремя способами


Решить систему линейных уравнений тремя способами

1. Метод Крамера
Запишем матрицу системы и столбец свободных членов:

Найдем определитель матрицы системы:

Найдем вспомогательные определители путем замены столбца при неизвестной на столбец свободных чле...