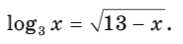
Решите уравнение
Функция
возрастает при
Раскрыть тему: Алгоритмы на графах и составление расписаний для контейнеровозов. Морской транспорт играет важную экономическую роль в обеспечении жизнедеятельности населения и функционировании хозяйственных комплексов.
Высшая математика
дано: треугольник ABS AB = 5 см BC = 5 см AC = 8 см вырезали вписанный окружность найти: S окружности =?
Составить уравнение плоскости Р, проходящей через точку А перпендикулярно вектору ВС. Написать ее общее уравнение, а также нормальное уравнение плоскости в отрезках.
GPT бот для написания реферата
Нейронка для генерации проектных работ
Нейронка для решения задач
Нейронка для решения задач по фото
Нейронка для генерации научных статей
Нейронка для отчёта по практике
Нейронка для помощи с курсовой
Нейронка для решения физики по фото
Нейронка для генерации списков литературы
Нейронка для решения задач по математике