1. Главная
  2. Библиотека
  3. Высшая математика
  4. Вычислить площадь плоской фигуры, ограниченной заданным...
Решение задачи на тему

Вычислить площадь плоской фигуры, ограниченной заданными кривыми. Сделать чертеж. Вычислить площадь плоской фигуры, ограниченной заданными кривыми. Сделать чертеж.

  • Высшая математика
Вычислить площадь плоской фигуры, ограниченной заданными кривыми. Сделать чертеж. Вычислить площадь плоской фигуры, ограниченной заданными кривыми. Сделать чертеж.

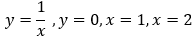
Условие:

Вычислить площадь плоской фигуры, ограниченной заданными кривыми. Сделать чертеж.

Решение:

Выбери предмет