1. Главная
  2. Библиотека
  3. Высшая математика
  4. Вычислить пределы, не применяя правило Лопиталя: а) пре...
Решение задачи на тему

Вычислить пределы, не применяя правило Лопиталя: а) предел икс стремится к бесконечности икс в квадрате минус икс в кубе минус икс в квадрате плюс два разделить на икс минус один

  • Высшая математика
Вычислить пределы, не применяя правило Лопиталя: а) предел икс стремится к бесконечности икс в квадрате минус икс в кубе минус икс в квадрате плюс два разделить на икс минус один

Условие:

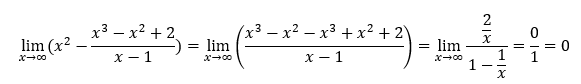
Вычислить пределы, не применяя правило Лопиталя:

Решение:

...

Выбери предмет