Условие:
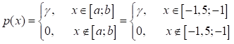
Дана плотность распределения p(x) случайной величины ξ.
Найти параметр , математическое ожидание Mξ, дисперсию Dξ, функцию распределения случайной величины ξ, вероятность выполнения неравенства x1 = -1 ≤ ξ < 2 = x2.


Дана плотность распределения p(x) случайной величины ξ.
Найти параметр , математическое ожидание Mξ, дисперсию Dξ, функцию распределения случайной величины ξ, вероятность выполнения неравенства x1 = -1 ≤ ξ < 2 = x2.

1) Параметр можно определить из условия нормировки:

Поэтому выражение для p(x) можно переписать в следующем виде:

2) Математическое ожидание непрерывной случайной величины: