1. Главная
  2. Библиотека
  3. Высшая математика
  4. Найти сумму ряда сумма пять деленное на сумму эн плюс о...
Решение задачи на тему

Найти сумму ряда сумма пять деленное на сумму эн плюс один умноженное на эн плюс три

  • Высшая математика
Найти сумму ряда сумма пять деленное на сумму эн плюс один умноженное на эн плюс три

Условие:

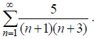
Найти сумму ряда

 

Решение:

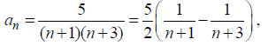
Общий член ряда можно представить в следующем виде:

откуда

Не нашел нужную задачу?

Воспользуйся поиском

Выбери предмет