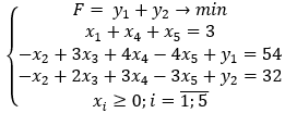
Решить задачу линейного программирования методом искусственного базиса
Введем искусственные переменные y1; y2 и решим следующую задачу
Или
К источнику тока напряжением подключены ключ , резистор сопротивлением и два одинаковых нелинейных сопротивления 1 и 2 , как показано на рисунке. Сила тока , текущего через нелинейное сопротивление, прямо пропорциональна квадрату напряжения на нем: , где
Высшая математика
Общий член последовательности задан формулой Доказать, что эта последовательность сходится и найти ее предел.
Найдите произведение наименьшего целого решения на количество целых решений неравенства .
GPT бот для написания реферата
Нейронка для генерации проектных работ
Нейронка для решения задач
Нейронка для решения задач по фото
Нейронка для генерации научных статей
Нейронка для отчёта по практике
Нейронка для помощи с курсовой
Нейронка для решения физики по фото
Нейронка для генерации списков литературы
Нейронка для решения задач по математике